分享到:
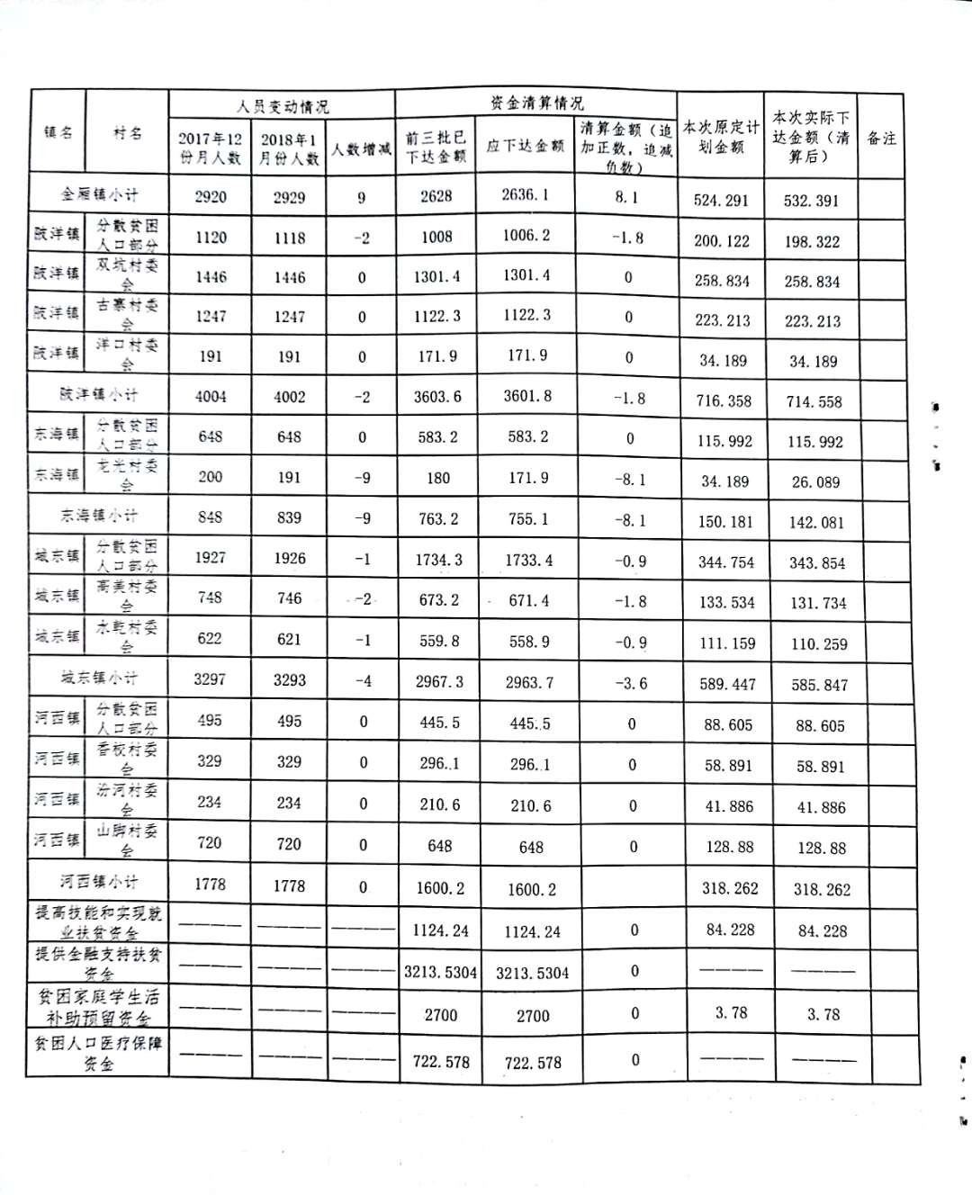
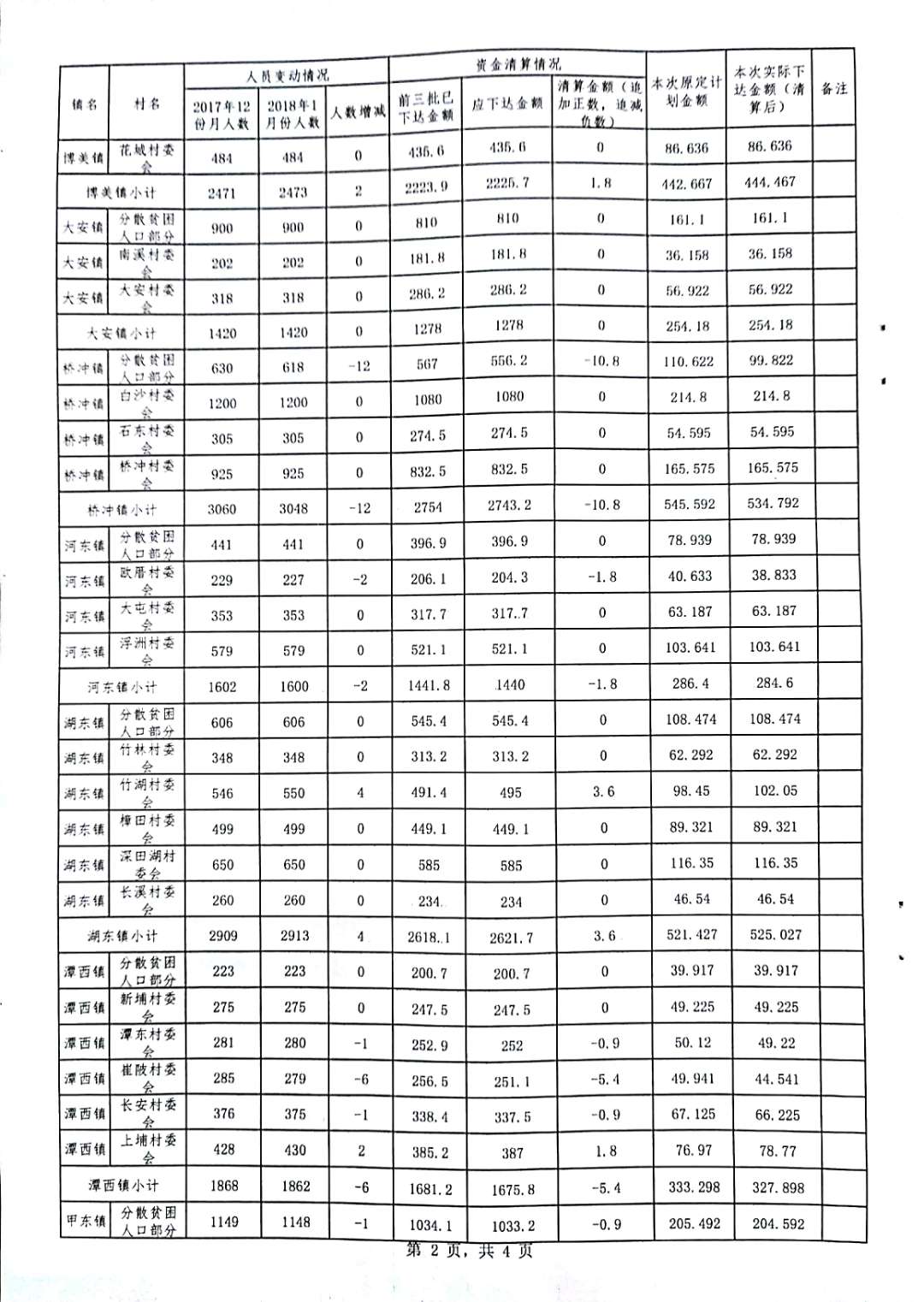
關于下達新時期精準扶貧精準脫貧資金(第四批)的通知
關聯(lián)稿件:
相關附件:
您訪問的鏈接即將離開“陸豐市人民政府”門戶網(wǎng)站,是否繼續(xù)?
長者助手
無障礙
手機版
智能機器人

2018-08-21 17:06
粵公網(wǎng)安備 44158102000013號